Welcome back to our series of game-changing improvements for xyztec’s Sigma bond testers. In our previous newsletter, we explored “Better positional precision.” Now, we are diving into “Better measurement accuracy”.
New FrontEnd
Our newly developed FrontEnd technology is a game-changer, boosting signal quality by a staggering 30%. This improvement is not confined to stronger signals; it extends its benefits even to the most delicate signals, making it ideal for lower force ranges. Our new FrontEnd improves the accuracy and reliability of your bond testing.
Patented dynamic measurement
Sigma bond testers are unparalleled in their approach. They consider the mass and damping of the load cell during measurement, leading to a more accurate peak force calculation. By compensating for dynamic effects during testing, our patented dynamic measurement ensures results that closely mirror the true force.
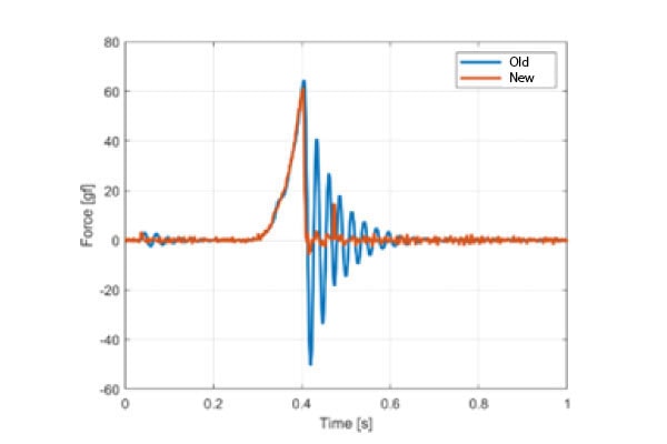
The graph shows the effect during a pull test. There are no more signal swings after wire breaks! After the wire break, there is no force on the sensor anymore. However, a static measurement on less advanced bond testers still shows a signal swing.
Stay tuned
Do not compromise on signal processing quality. Choose Sigma bond testers for precision without compromise. Stay tuned for our final newsletter, where we will unveil the third of these groundbreaking improvements, which promises to elevate your bond testing capabilities further.
For any inquiries or to explore these advancements, please do not hesitate to contact us.
Get your free SMT ticket!
Xyztec is exhibiting at the SMTconnect 2024 in Germany from 11-13th June, and we invite you to our booth Hall 4A – Booth 102. Get your free SMT ticket by sending a short e-mail including your full name, telephone number, and company name. You will receive the corresponding code from us to register for the SMTconnect.


