As we bid farewell to 2023, a year full of innovation and milestones, we are on the point of an exciting new chapter. At xyztec, we have seen remarkable advancements and are thrilled to share the highlights and a sneak peek into what awaits in 2024.
Reflecting on 2023’s successes
2023 marked a year of groundbreaking achievements. Our revolutionary Nano control shear sensor is a game-changer, elevating shear height precision to a new level with a precision of ± 200 nm. Additionally, the launch of our new 5.17 software introduced thrilling features, enhancing testing experiences and empowering users to achieve remarkable results. Notably, our Sigma bond testers are now fully GEM300 compliant, ensuring seamless communication and unparalleled efficiency for automatic lead frame and wafer testing.
Pioneering innovations for Sigma bond testers
Looking ahead to 2024, xyztec does not just follow trends; we set them. Prepare to witness 3 transformative enhancements in our Sigma product line, addressing the evolving market’s demand for smaller and fine-pitch connections.
Here is what the new Sigma brings to the table:
- Better positional precision
- Better measurement accuracy
- Better speed results in a better UPH
Better positional precision
Experience unparalleled accuracy in the X, Y, and Z axes, redefining testing precision for automation and fine-pitch applications. Our new stages offer faster and more direct control, guaranteeing enhanced positional accuracy.
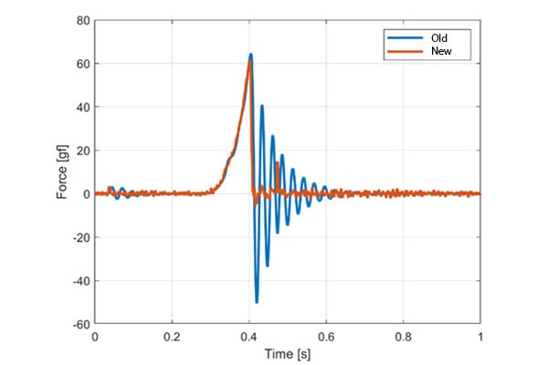
Better measurement accuracy
By enhancing the FrontEnd and implementing patented dynamic measurement calculations, we deliver better signal quality and accuracy in measuring peak force. Expect measurements closer to the true force, setting new benchmarks in accuracy.
Better speed results in a better UPH
Integrated trajectory controllers and high-speed interfaces to motor controllers pave the way for increased test speeds and improved UPH. Direct control enhances axis speed, ensuring more accurate testing and a higher number of tests per hour.
No limitations
While we have shared a glimpse into our Sigma bond tester advancements, much more is brewing behind the scenes. Our engineers collaborate with esteemed partners on groundbreaking projects, propelling bond testing technology into uncharted territories.
As we embark on this journey into 2024, we extend our heartfelt gratitude for your unwavering support. Your belief in our ability to craft tailored solutions for bond testing needs has been invaluable. We are ready for 2024 – how about you?
Cheers to the New Year
We hope your Christmas was filled with joy and warmth. As we enter 2024, we wish you peace, prosperity, and boundless success. Thank you for an incredible year, and here is to embracing innovation together in the coming year.
Happy and Prosperous 2024!




